芯片资讯
- 发布日期:2024-01-05 14:23 点击次数:82
作者:co lin
【导读】:网上关于AOI算法的文章很多了,但大多语焉不详,一上来就9宫格十字链表,直接把人整懵。本文试图由浅入深的介绍AOI算法的形成,希望能把AOI解决的问题,以及它的核心逻辑讲清楚。如果读完之后能所有启发,那本文的目的就达到了。
AOI 算法是大型多人在线的游戏服务器中一个非常重要的基础模块,它很大程度上决定了服务器的运行效率。那么什么是AOI呢?AOI全称为Area Of Interest,翻译过来叫感兴趣的区域,通俗的讲是一个游戏对象在场景中的视野,这个视野可以大到整个场景,也可以小到周围几米;它能观察到视野中的其它对象的一举一动,同时它也在某些对象的视野中,也被这些对象观察着。
每个对象需要维护到两个集合:
观察者集合:就是关注我的对象集合,我的所有AOI行为都需要向这个集合发送事件,以便让他们观察到我的变化。
被观察者集合:就是被我关注的对象集合,理论上只要有观察者集合就够了,为什么还需要维护一个被观察者集合呢?因为有时候想主动检查对象的状态,比如怪物AI会定时检查被观察者集合的距离,决定是否发动攻击;又比如释放技能需要遍历被观察者集合,判断它们是否命中。如果没有被观察者集合,就必须遍历整个场景的对象。
有些游戏对象同时拥有这两个集合,有些只拥有其中一个,假设场景中有玩家,怪物,NPC,掉落物:
围绕这两个集合,AOI算法的设计要考虑以下因素:
现在我们就一步步地探索AOI算法。
上帝视角
把整个场景当成可见范围,无论我走到哪里,都能看到场景中的所有对象。每个对象就像上帝一样,能观察到其他对象的行为。
这种做法是为最简单直接的AOI管理,场景管理器只需用一个字典保存所有游戏对象,另有一个字典按对象类型保存对象集合就可以了。被观察者集合和观察者集合在需要的时候直接从场景管理器中取。
以一个玩家在场景中的行为看看AOI怎么处理
进入
我进入场景,取出所有对象,向我发送Enter(对象)事件,我会向客户端发送对象集进入的协议,这样我的客户端便能看到场景中的所有对象。
将我加入场景管理器。
取出其他玩家集合,向它们一个个发送Enter(我),玩家会向它的客户端发送我进入的协议,这样它就能看到我在场景中,即便我其实离屏幕很远也是这样。
可能不需要向怪物集合发送Enter消息,因为怪物AI会自己去遍历敌人。
离开
我离开场景,将我从场景管理器删除。
取出玩家集合,向它们一个个发送Leave(我)事件,玩家会向它的客户端发送我离开的协议。
可能不需要向我发送Leave(对象)事件,因为我跳场景后,客户端会自动把场景中的对象删除。
更新
我在场景中的行为称为更新,比如移动,换装,发技能等等,其他玩家应该能看到我这些行为。
取出玩家集合,向它们发送相应的事件,他们会向客户端发送相应的协议,这样客户端就能看到我的行为了。
上帝视角的AOI其实是非常简单可靠的,如果预估场景中的对象最多几十个,那么我建议直接用这种方式,它即足够高效,也不用每个对象单独保存观察者集合和被观察者集合,对内存很友好,同时它很简单,几乎不大可能出错。
但当场景比较大,且对象数量达到数百上千的时候,这种方式就不适合了,因为每个对象的状态更新需要通知上千个其他对象,交叉起来能达到百万级别的量。再加上客户端承受不了上千的游戏对象,我们应该减少对象的视野。
减少视野
一旦限定了对象的视野,AOI算法就开始变得复杂;而且每个对象需要维护被观察者集合和观察者集合,内存占用会大大增加。
每种对象的视野可以不同,比如玩家的视野只比一个屏幕大一点点,有些BOSS需要更大的视野,而NPC可能视野为0,视野为0的对象不关注别人,只被别人关注。
看看减少视野后的处理
进入
我进入场景。
遍历场景中所有对象,逐一比较它们和我的距离,如果对象在我的视野之内,则向我发送Enter(对象)事件,此时这些对象会加入我的被观察者集合,同时,我会加入到这些对象的观察者集合。
同样如果距离小于对象的视野,则向对象发送Enter(我)事件,此时我会加入到对象的被观察者集合,同时对象会加入到我的观察者集合。
离开
我离开场景。
遍历我的观察者集合,向他们发送Leave(我)事件,此时我从对象的被观察者集合中删除,同时对象也会从我的观察者集合删除。
遍历我的被观察者集合,将我从这些对象的观察者集合中删除,将我的被观察者集合清空。
更新
这里的更新不包括移动,因为移动会导致对象集合变化。遍历我的观察者集合,向它们发送相应的更新事件。
移动
我移动的时候,被观察者集合和观察者集合都会发生变动,现在我们没有好的办法优化它,只能这样做:
遍历场景的所有对象:
别被这段话绕晕,实际上它的逻辑是很清楚的,请仔细理解这段话。
可以看到移动是最大的性能瓶颈,每次移动需遍历场景中的所有对象,如果每个人都在移动,那这个服务器的承载力可想而知。现在的优化方向转向如何减少对象的遍历,稍微思索后,我们能得到一个解决方法:将场景划分格子。
网格化
将场景划分成等大的格子,1个格子大约为1/4屏幕大小,每个进来的对象根据坐标加入对应的格子中,如下图所示:

绿色框为屏幕大小,红星为我,现在我们把最大视野限定为9宫格,这样搜索范围就缩小为9个格子,需要遍历的对象数量大大减少。
进入
我进入场景,马上计算出我所在的格子,并加入这个格子。
接下来的做法和上面的进入完全一样,只不过搜索的范围变成这9个宫格子,具体不再描述。
离开
我离开场景,将我从格子删除,
接下来的做法和上面的离开完全一样。
移动
我移动的时候,遍历9宫格的所有对象,然后执行和上面的移动完全一样的逻辑
如果我移动到新的格子上时,还要多处理一些事件:
如果对象均匀的分布在场景中,且场景足够大,那这个优化的效果是非常显著的。
但如果像主城那样,玩家大多集中在一个区域,服务器的压力仍然会很大,原因是9个格子的玩家可能占了场景80%的玩家,这又退化成和遍历场景所有玩家差不多了。
假如我们把要求降低一些:强制对象的视野固定在9宫格上,也就是说,只要我在这个格子中,不管怎么移动,视野都是周围的9个格子,那事情就好办了。每个游戏对象不需要维护两个集合,直接从9宫格里取即可。现在逻辑简化成这样:

这个过程看起来就是上帝视角的缩小版,如果我们对视野要求不那么高,这个做法和上帝视角一样简单可靠。我相信很多游戏的9宫格处理都是用这种,或者基于这种去优化的。
这种做法的一个小小缺点是客户端会收到一些屏幕外的对象消息,有点浪费带宽吧,如果我们把发消息做成批量加压缩的方式,这种浪费并不大。
十字链表
基于网格的优化基本也就到这儿,如果想探索更多的优化方式,只能换一种数据结构,用十字链表,其核心思想是将所有对象结点链接在两个链表上,一个按X值排序,NXP微控制器一个按Y值排序,对象进入场景后遍历两个链表,找到合适的位置插进去;移动的时候,从对象位置前后遍历两个链表,和其他对象进行判断。
简单的描述是这样子,可是当你按这个思路去实现十字链表时,你会发现搜索观察者和被观察者都很慢,因为每种对象的视野可能不一样,你没办法只前后遍历一点点,有可能在很远的地方有一个对象在观察着你,你只能整个链表遍历,这样的十字链表就没什么意义了。
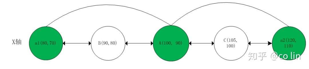
真正的十字链表,除了对象结点外,还需要一种哨兵结点,每个对象都带有两个哨兵结点,这两个哨兵结点同样被链接在X和Y链表上,哨兵结点也有坐标,它们的坐标刚好是对象坐标与其视野半径的差值,举个例子:
对象A的坐标是(100, 90),假设对象的视野半径是20,那么哨兵1的坐标就是(80, 70),哨兵2的坐标就是(120, 110),它们按顺序加入链表,拿X链表举例,如下所示:

先不去管B和C,a1和a2是A的哨兵,并且A移动后,哨兵也会跟着移动,以保持它们的距离总是视野的半径。
那么哨兵结点的作用到底是什么呢?顾名思议,它们的作用是用来监控跨越它的对象结点的:
假如有一个D结点原来的坐标是(78, 69),现在它移动到(82, 75),坐标变动后,D结点需要从原来的位置向前移,必定会跨过a1这个结点,此时a1判断D是一个对象结点,且它原来的坐标在A的视野之外,现在的坐标到了A的视野之内,就可以确定D进入A的视野。哨兵向A发送Enter(D)事件:D会加入A的被观察者集合,同时,A会加入到D的观察者集合。
D在向前移动时,A也可能会进入D的视野,这个是怎么判定的呢?别忘了D也是有两个哨兵结点的,它们也跟着D向前移,其中一个哨兵越过A时判断:原来A的坐标在D的视野之外,现在A的坐标到了D的视野内,可以确定A进入D的视野,于是哨兵向D发送Enter(A)事件:A会加入D的被观察者集合,同时,D会加入到A的观察者集合。
如此一来一回,各方就慢慢维护起观察者集合和被观察集合。离开视野的处理也是类似,这里就不再罗索,留给你们去想。
总而言之,十字链表的的核心算法就是哨兵结点或对象结点在移动的时候,会跨过对方,在跨过的时候判断进入视野还是离开视野。
这个算法假设对象经常静止或小幅移动,对于大幅移动和进出场景是小概率事件,这个假设用在网游刚好非常凑效,所以十字链表非常高效。
下面用一个几何图来帮助理解十字链表:

A移动到A'时,所需要遍历的对象就在黄条覆盖的区域,这个条越细表示遍历的对象越少。
当然也不是说十字链表很完美,它在角色经常进出场景的情况下就表现得不大好,因为角色每次进来场景,都需要从X和Y的链表头向前遍历,直到找到自己的位置。这个时间复杂度是O(N)。遇到那种经常跳场景去副本的游戏,十字链表可能会有点性能瓶颈。
针对这个问题,我想到了一种解决办法,注意看了:
地标结点越多越精确,但遍历的结点也越多,这个需要实际实现的时候做试验。
AOI算法大体就是这样,大多数游戏用固定视野的9宫格算法就足够了,如果人数太多,我们完全可以用场景分线或分层的方式,强制把人数降下来,因为人数太多,对客户端的体验也不会好到哪里去。
本文到此就结束了,希望对正在研究AOI算法的你有所帮助。
对玩家来说:它能观察到所有类型的游戏对象;同时它会被其他玩家和怪物观察着;但它可能不会被NPC和掉落物观察。所以它的被观察者集合是所有类型的游戏对象,观察者集合是玩家和怪物。
对于NPC和掉落物来说:它不关心周围的对象,所以它没有被观察集合;但它有观察者集合,里面只有玩家类型。
怪物多样化一些:
主动怪的被观察者集合是玩家;观察者集合也是玩家。
被动怪可以设计为没有被观察者集合,因为在它没有被玩家攻击之前,它是不关心周围的环境,玩家攻击它之后,玩家会进入它的仇恨者列表,这是怪物AI的范畴了;它的观察者集合是玩家。
对象视野的大小,这直接影响到集合的大小。
对象集合保存在哪里,有些做法是场景共享对象集合,有些则是每个对象单独保存这两个集合。
在进入离开移动等事件中,如何更新对象集合。
如果它原来在我的被观察者集合中,并且现在的距离已经大于我的视野,向我发送Leave(对象)事件,此时对象会从我的被观察者集合删除,同时我会从对象的观察者集合删除。
如果它原来在我的观察者集合中,并且现在的距离已经大于它的视野,则向它发送Leave(我)事件,此时我会从它的被观察者集合中删除,同时它会从我的观察者集合中删除。
向剩下的观察者集合发送移动事件。
如果它原来没有在我的被观察者集合中,并且现在的距离已经小于等于我的视野,向我发送Enter(对象)事件,此时这些对象会加入我的被观察者集合,同时,我会加入到这些对象的观察者集合。
如果它原来没有在我的观察者集合中,并且现在的距离已经小于等于它的视野,向它发送Enter(我)事件,此时我会加入到对象的被观察者集合,同时对象会加入到我的观察者集合。
把我从原来的格子删除,加入新的格子。
假设旧的9宫格为OldGrid,新的9宫格为NewGrid,计算{NewGrid-OldGrid}集合,得到的这些格子即为新增的格子。然后对这些格子执行和进入完全一样的处理:
进入场景:进入一个格子,取出周围9格的对象,向它们发送Enter(我)事件,同时向我发送Enter(对象)事件。
离开场景:取出周围9格的对象,向它们发送Leave(我)事件。
移动:
如果没跨格子,直接取9格的对象,向它们发送移动事件。
如果跨过格子,计算{OldGrid-NewGrid},向它们发送Leave(我)事件,向我发送Leave(对象)事件;计算{NewGrid-OldGrid}集合,向它们发送Enter(我)事件,向我发送Enter(对象事件;计算{NewGrid*OldGrid}集合,向他们发送移动事件。
首先需要像9宫格那样限定一个最大视野,比如任何对象的视野都不会超过1.5个屏幕大小。
接着我们定义一些地标结点,它们的坐标在设定之后就不会改变,像是地图里的地标一样。假如一个地图的大小是1000x1000,我们可以创建10个地标结点,每个结点的坐标相距100大小:M1(0, 0), M2(100, 100), M3(200, 200), M4(300, 300)。。。
创建场景的时候,就把地标结点分别插入到X和Y链表中,地标结点的坐标不会改变,所以永远不用移动它们。
接着把这些地标结点按顺序保存在一个数组中:|M1|M2|M3...|,有了这个数组,我们就不用从头移动了。
A进入场景后,它算出:移动点=A的坐标-最大视野直径,然后在地标数组中快速查找到最近的地标结点(用二分查找法),从这个地标结点开始向前移动,移动过程中A就会进入其他对象的视野。
A移动完成之后,A身边的两个哨兵结点开始向两边移动,移动过程中就会有一些对象进入A的视野。
审核编辑:黄飞
